
Solving optimal control problems on GPU with Julia
Jean-Baptiste Caillau, Olivier Cots, Joseph Gergaud, Pierre Martinon, Sophia Sed

What it's about
- Nonlinear optimal control of ODEs:
\[g(x(t_0),x(t_f)) + \int_{t_0}^{t_f} f^0(x(t), u(t))\, \mathrm{d}t \to \min\]
subject to
\[\dot{x}(t) = f(x(t), u(t)),\quad t \in [t_0, t_f]\]
plus boundary, control and state constraints
- Our core interests: numerical & geometrical methods in control, applications
- Why Julia: fast (+ JIT), strongly typed, high-level (AD, macros), fast optimisation and ODE solvers available, rapidly growing community
Discretise then solve strategy (aka direct methods)
- Discretising an OCP into an NLP: $h_i := t_{i+1}-t_i$,
\[g(X_0,X_N) + \sum_{i=0}^{N} h_i f^0(X_i,U_i) \to \min\]
subject to
\[X_{i+1} - X_i - h_i f(X_i, U_i) = 0,\quad i = 0,\dots,N-1\]
plus other constraints on $X := (X_i)_{i=0,N}$ and $U := (U_i)_{i=0,N}$ such as boundary and path (state and / or control) constraints :
\[b(t_0, X_0, t_N, X_N) = 0\]
\[c(X_i, U_i) \leq 0,\quad i = 0,\dots,N\]
- SIMD parallelism ($f_0$, $f$, $g$) + sparsity: Kernels for GPU (KernelAbstraction.jl) and sparse linear algebra (CUDSS.jl)
- Modelling and optimising for GPU: ExaModels.jl + MadNLP.jl, with built-in AD
- Simple example, DSL
- Compile into an ExaModel (one pass compiler, syntax + semantics)
Simple example, generated code
begin
#= /data/caillau/CTParser.jl/src/onepass.jl:1003 =#
function (; scheme = :trapezoidal, grid_size = 200, backend = nothing, init = (0.1, 0.1, 0.1), base_type = Float64)
#= /data/caillau/CTParser.jl/src/onepass.jl:1003 =#
#= /data/caillau/CTParser.jl/src/onepass.jl:1004 =#
LineNumberNode(0, "box constraints: variable")
#= /data/caillau/CTParser.jl/src/onepass.jl:1005 =#
begin
LineNumberNode(0, "box constraints: state")
begin
var"##235" = -Inf * ones(3)
#= /data/caillau/CTParser.jl/src/onepass.jl:461 =#
var"##236" = Inf * ones(3)
end
end
#= /data/caillau/CTParser.jl/src/onepass.jl:1006 =#
begin
LineNumberNode(0, "box constraints: control")
begin
var"##237" = -Inf * ones(1)
#= /data/caillau/CTParser.jl/src/onepass.jl:512 =#
var"##238" = Inf * ones(1)
end
end
#= /data/caillau/CTParser.jl/src/onepass.jl:1007 =#
var"##230" = ExaModels.ExaCore(base_type; backend = backend)
#= /data/caillau/CTParser.jl/src/onepass.jl:1008 =#
begin
#= /data/caillau/CTParser.jl/test/test_onepass_exa.jl:23 =#
var"##232" = begin
#= /data/caillau/CTParser.jl/src/onepass.jl:111 =#
local ex
#= /data/caillau/CTParser.jl/src/onepass.jl:112 =#
try
#= /data/caillau/CTParser.jl/src/onepass.jl:113 =#
(1 - 0) / grid_size
catch ex
#= /data/caillau/CTParser.jl/src/onepass.jl:115 =#
println("Line ", 1, ": ", "(t ∈ [0, 1], time)")
#= /data/caillau/CTParser.jl/src/onepass.jl:116 =#
throw(ex)
end
end
#= /data/caillau/CTParser.jl/test/test_onepass_exa.jl:24 =#
x = begin
#= /data/caillau/CTParser.jl/src/onepass.jl:111 =#
local ex
#= /data/caillau/CTParser.jl/src/onepass.jl:112 =#
try
#= /data/caillau/CTParser.jl/src/onepass.jl:113 =#
ExaModels.variable(var"##230", 3, 0:grid_size; lvar = [var"##235"[i] for (i, j) = Base.product(1:3, 0:grid_size)], uvar = [var"##236"[i] for (i, j) = Base.product(1:3, 0:grid_size)], start = init[2])
catch ex
#= /data/caillau/CTParser.jl/src/onepass.jl:115 =#
println("Line ", 2, ": ", "(x ∈ R ^ 3, state)")
#= /data/caillau/CTParser.jl/src/onepass.jl:116 =#
throw(ex)
end
end
#= /data/caillau/CTParser.jl/test/test_onepass_exa.jl:25 =#
var"u##239" = begin
#= /data/caillau/CTParser.jl/src/onepass.jl:111 =#
local ex
#= /data/caillau/CTParser.jl/src/onepass.jl:112 =#
try
#= /data/caillau/CTParser.jl/src/onepass.jl:113 =#
ExaModels.variable(var"##230", 1, 0:grid_size; lvar = [var"##237"[i] for (i, j) = Base.product(1:1, 0:grid_size)], uvar = [var"##238"[i] for (i, j) = Base.product(1:1, 0:grid_size)], start = init[3])
catch ex
#= /data/caillau/CTParser.jl/src/onepass.jl:115 =#
println("Line ", 3, ": ", "(u ∈ R, control)")
#= /data/caillau/CTParser.jl/src/onepass.jl:116 =#
throw(ex)
end
end
#= /data/caillau/CTParser.jl/test/test_onepass_exa.jl:26 =#
begin
#= /data/caillau/CTParser.jl/src/onepass.jl:111 =#
local ex
#= /data/caillau/CTParser.jl/src/onepass.jl:112 =#
try
#= /data/caillau/CTParser.jl/src/onepass.jl:113 =#
ExaModels.constraint(var"##230", (x[i, 0] for i = 1:3); lcon = [-1, 0, 0], ucon = [-1, 0, 0])
catch ex
#= /data/caillau/CTParser.jl/src/onepass.jl:115 =#
println("Line ", 4, ": ", "x(0) == [-1, 0, 0]")
#= /data/caillau/CTParser.jl/src/onepass.jl:116 =#
throw(ex)
end
end
#= /data/caillau/CTParser.jl/test/test_onepass_exa.jl:27 =#
begin
#= /data/caillau/CTParser.jl/src/onepass.jl:111 =#
local ex
#= /data/caillau/CTParser.jl/src/onepass.jl:112 =#
try
#= /data/caillau/CTParser.jl/src/onepass.jl:113 =#
ExaModels.constraint(var"##230", (x[i, grid_size] for i = 1:2); lcon = [0, 0], ucon = [0, 0])
catch ex
#= /data/caillau/CTParser.jl/src/onepass.jl:115 =#
println("Line ", 5, ": ", "(x[1:2])(1) == [0, 0]")
#= /data/caillau/CTParser.jl/src/onepass.jl:116 =#
throw(ex)
end
end
#= /data/caillau/CTParser.jl/test/test_onepass_exa.jl:28 =#
begin
#= /data/caillau/CTParser.jl/src/onepass.jl:111 =#
local ex
#= /data/caillau/CTParser.jl/src/onepass.jl:112 =#
try
#= /data/caillau/CTParser.jl/src/onepass.jl:113 =#
begin
#= /data/caillau/CTParser.jl/src/onepass.jl:735 =#
if scheme == :trapezoidal
#= /data/caillau/CTParser.jl/src/onepass.jl:736 =#
ExaModels.constraint(var"##230", ((x[1, j + 1] - x[1, j]) - (var"##232" * (x[2, j] + x[2, j + 1])) / 2 for j = 0:grid_size - 1))
elseif #= /data/caillau/CTParser.jl/src/onepass.jl:737 =# scheme == :euler
#= /data/caillau/CTParser.jl/src/onepass.jl:738 =#
ExaModels.constraint(var"##230", ((x[1, j + 1] - x[1, j]) - var"##232" * x[2, j] for j = 0:grid_size - 1))
elseif #= /data/caillau/CTParser.jl/src/onepass.jl:739 =# scheme == :euler_b
#= /data/caillau/CTParser.jl/src/onepass.jl:740 =#
ExaModels.constraint(var"##230", ((x[1, j + 1] - x[1, j]) - var"##232" * x[2, j + 1] for j = 0:grid_size - 1))
else
#= /data/caillau/CTParser.jl/src/onepass.jl:742 =#
throw("unknown numerical scheme")
end
end
catch ex
#= /data/caillau/CTParser.jl/src/onepass.jl:115 =#
println("Line ", 6, ": ", "(∂(x₁))(t) == x₂(t)")
#= /data/caillau/CTParser.jl/src/onepass.jl:116 =#
throw(ex)
end
end
#= /data/caillau/CTParser.jl/test/test_onepass_exa.jl:29 =#
begin
#= /data/caillau/CTParser.jl/src/onepass.jl:111 =#
local ex
#= /data/caillau/CTParser.jl/src/onepass.jl:112 =#
try
#= /data/caillau/CTParser.jl/src/onepass.jl:113 =#
begin
#= /data/caillau/CTParser.jl/src/onepass.jl:735 =#
if scheme == :trapezoidal
#= /data/caillau/CTParser.jl/src/onepass.jl:736 =#
ExaModels.constraint(var"##230", ((x[2, j + 1] - x[2, j]) - (var"##232" * (var"u##239"[1, j] + var"u##239"[1, j + 1])) / 2 for j = 0:grid_size - 1))
elseif #= /data/caillau/CTParser.jl/src/onepass.jl:737 =# scheme == :euler
#= /data/caillau/CTParser.jl/src/onepass.jl:738 =#
ExaModels.constraint(var"##230", ((x[2, j + 1] - x[2, j]) - var"##232" * var"u##239"[1, j] for j = 0:grid_size - 1))
elseif #= /data/caillau/CTParser.jl/src/onepass.jl:739 =# scheme == :euler_b
#= /data/caillau/CTParser.jl/src/onepass.jl:740 =#
ExaModels.constraint(var"##230", ((x[2, j + 1] - x[2, j]) - var"##232" * var"u##239"[1, j + 1] for j = 0:grid_size - 1))
else
#= /data/caillau/CTParser.jl/src/onepass.jl:742 =#
throw("unknown numerical scheme")
end
end
catch ex
#= /data/caillau/CTParser.jl/src/onepass.jl:115 =#
println("Line ", 7, ": ", "(∂(x₂))(t) == u(t)")
#= /data/caillau/CTParser.jl/src/onepass.jl:116 =#
throw(ex)
end
end
#= /data/caillau/CTParser.jl/test/test_onepass_exa.jl:30 =#
begin
#= /data/caillau/CTParser.jl/src/onepass.jl:111 =#
local ex
#= /data/caillau/CTParser.jl/src/onepass.jl:112 =#
try
#= /data/caillau/CTParser.jl/src/onepass.jl:113 =#
begin
#= /data/caillau/CTParser.jl/src/onepass.jl:735 =#
if scheme == :trapezoidal
#= /data/caillau/CTParser.jl/src/onepass.jl:736 =#
ExaModels.constraint(var"##230", ((x[3, j + 1] - x[3, j]) - (var"##232" * (0.5 * var"u##239"[1, j] ^ 2 + 0.5 * var"u##239"[1, j + 1] ^ 2)) / 2 for j = 0:grid_size - 1))
elseif #= /data/caillau/CTParser.jl/src/onepass.jl:737 =# scheme == :euler
#= /data/caillau/CTParser.jl/src/onepass.jl:738 =#
ExaModels.constraint(var"##230", ((x[3, j + 1] - x[3, j]) - var"##232" * (0.5 * var"u##239"[1, j] ^ 2) for j = 0:grid_size - 1))
elseif #= /data/caillau/CTParser.jl/src/onepass.jl:739 =# scheme == :euler_b
#= /data/caillau/CTParser.jl/src/onepass.jl:740 =#
ExaModels.constraint(var"##230", ((x[3, j + 1] - x[3, j]) - var"##232" * (0.5 * var"u##239"[1, j + 1] ^ 2) for j = 0:grid_size - 1))
else
#= /data/caillau/CTParser.jl/src/onepass.jl:742 =#
throw("unknown numerical scheme")
end
end
catch ex
#= /data/caillau/CTParser.jl/src/onepass.jl:115 =#
println("Line ", 8, ": ", "(∂(x₃))(t) == 0.5 * u(t) ^ 2")
#= /data/caillau/CTParser.jl/src/onepass.jl:116 =#
throw(ex)
end
end
#= /data/caillau/CTParser.jl/test/test_onepass_exa.jl:31 =#
begin
#= /data/caillau/CTParser.jl/src/onepass.jl:111 =#
local ex
#= /data/caillau/CTParser.jl/src/onepass.jl:112 =#
try
#= /data/caillau/CTParser.jl/src/onepass.jl:113 =#
ExaModels.objective(var"##230", x[3, grid_size])
catch ex
#= /data/caillau/CTParser.jl/src/onepass.jl:115 =#
println("Line ", 9, ": ", "x₃(1) → min")
#= /data/caillau/CTParser.jl/src/onepass.jl:116 =#
throw(ex)
end
end
end
#= /data/caillau/CTParser.jl/src/onepass.jl:1009 =#
begin
#= /data/caillau/CTParser.jl/src/onepass.jl:994 =#
!(isempty([1, 2, 3])) || throw(CTBase.ParsingError("dynamics not defined"))
#= /data/caillau/CTParser.jl/src/onepass.jl:995 =#
sort([1, 2, 3]) == 1:3 || throw(CTBase.ParsingError("some coordinates of dynamics undefined"))
end
#= /data/caillau/CTParser.jl/src/onepass.jl:1010 =#
return ExaModels.ExaModel(var"##230")
end
end
- Solving (MadNLP + CUDSS)
This is MadNLP version v0.8.7, running with cuDSS v0.4.0
Number of nonzeros in constraint Jacobian............: 12005
Number of nonzeros in Lagrangian Hessian.............: 9000
Total number of variables............................: 4004
variables with only lower bounds: 0
variables with lower and upper bounds: 0
variables with only upper bounds: 0
Total number of equality constraints.................: 3005
Total number of inequality constraints...............: 0
inequality constraints with only lower bounds: 0
inequality constraints with lower and upper bounds: 0
inequality constraints with only upper bounds: 0
iter objective inf_pr inf_du lg(mu) ||d|| lg(rg) alpha_du alpha_pr ls
0 1.0000000e-01 1.10e+00 1.00e+00 -1.0 0.00e+00 - 0.00e+00 0.00e+00 0
1 1.0001760e-01 1.10e+00 3.84e-03 -1.0 6.88e+02 -4.0 1.00e+00 2.00e-07h 2
2 -5.2365072e-03 1.89e-02 1.79e-07 -1.0 6.16e+00 -4.5 1.00e+00 1.00e+00h 1
3 5.9939621e+00 2.28e-03 1.66e-04 -3.8 6.00e+00 -5.0 9.99e-01 1.00e+00h 1
4 5.9996210e+00 2.94e-06 8.38e-07 -3.8 7.70e-02 - 1.00e+00 1.00e+00h 1
Number of Iterations....: 4
(scaled) (unscaled)
Objective...............: 5.9996210189633494e+00 5.9996210189633494e+00
Dual infeasibility......: 8.3756005011360529e-07 8.3756005011360529e-07
Constraint violation....: 2.9426923277963834e-06 2.9426923277963834e-06
Complementarity.........: 2.0007459547789288e-06 2.0007459547789288e-06
Overall NLP error.......: 2.9426923277963834e-06 2.9426923277963834e-06
Number of objective function evaluations = 6
Number of objective gradient evaluations = 5
Number of constraint evaluations = 6
Number of constraint Jacobian evaluations = 5
Number of Lagrangian Hessian evaluations = 4
Total wall-clock secs in solver (w/o fun. eval./lin. alg.) = 0.072
Total wall-clock secs in linear solver = 0.008
Total wall-clock secs in NLP function evaluations = 0.003
Total wall-clock secs = 0.083
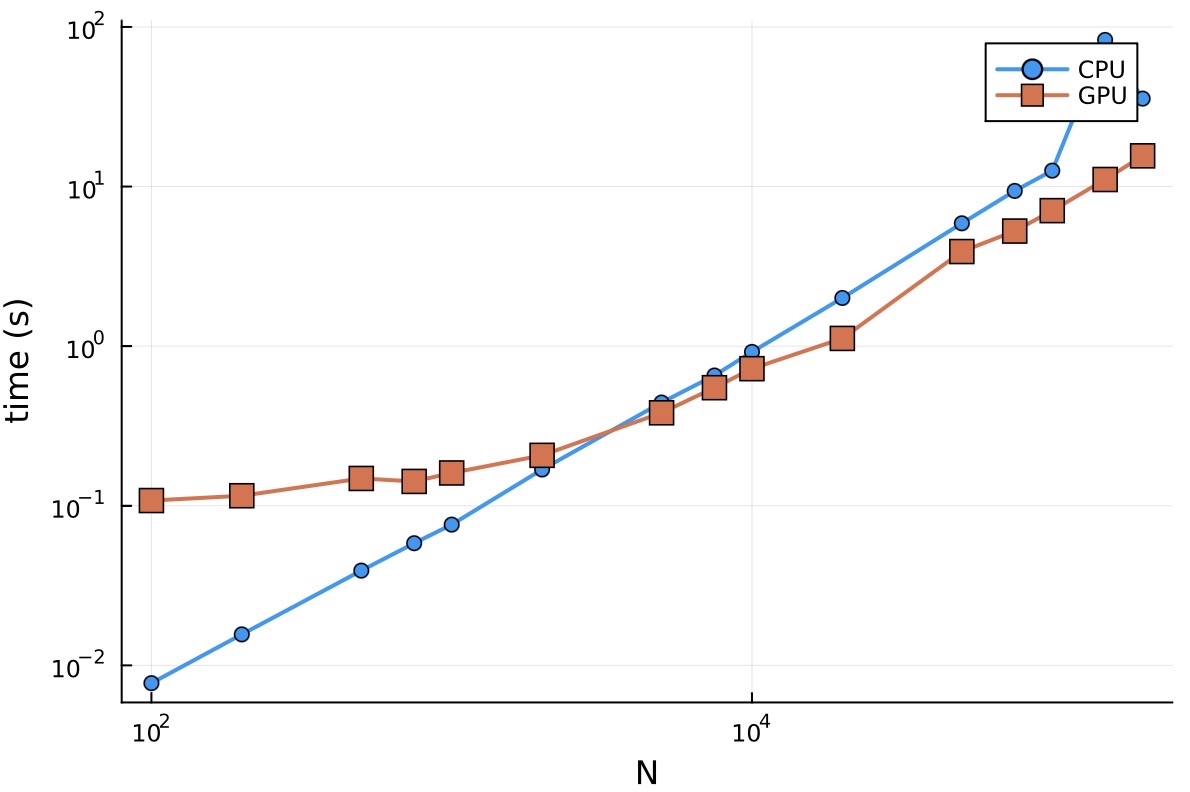
Mini-benchmark: Goddard and Quadrotor problems
- Goddard, A100 run

- Goddard, H100 run

- Quadrotor, A100 run

- Quadrotor, H100 run

Wrap up
- High level modelling of optimal control problems
- Solving on CPU and GPU
What's next
- New applications (space mechanics, biology, quantum mechanics and more) -> check David's talk
- Collection of problems: OptimalControlProblems.jl
- ... and open to contributions! Give it a try, give it a star ⭐️

control-toolbox.org
- Open toolbox
- Collection of Julia Packages rooted at OptimalControl.jl

Credits (not exhaustive!)
- ADNLPModels.jl
- DifferentiationInterface.jl
- DifferentialEquations.jl
- ExaModels.jl
- Ipopt.jl
- MadNLP.jl
- MLStyle.jl
Acknowledgements
Jean-Baptiste Caillau is partially funded by a France 2030 support managed by the Agence Nationale de la Recherche, under the reference ANR-23-PEIA-0004 (PDE-AI project).
